Expense Office Equipment Meaning . Web office equipment expenses can be broadly categorized into three main types: This cost is charged to. Web office equipment expense is the cost incurred to maintain and operate office equipment. Office equipment is a fixed asset account in which is stored the acquisition costs of. Web what is office equipment? Web one of the primary tax considerations is the ability to deduct the cost of office equipment as a business. Web how to classify office supplies, office expenses, and office equipment on financial statements. Web office supplies expense is the amount of administrative supplies charged to expense in a reporting period.
from www.chegg.com
Web office equipment expenses can be broadly categorized into three main types: Web how to classify office supplies, office expenses, and office equipment on financial statements. Office equipment is a fixed asset account in which is stored the acquisition costs of. Web what is office equipment? This cost is charged to. Web office supplies expense is the amount of administrative supplies charged to expense in a reporting period. Web office equipment expense is the cost incurred to maintain and operate office equipment. Web one of the primary tax considerations is the ability to deduct the cost of office equipment as a business.
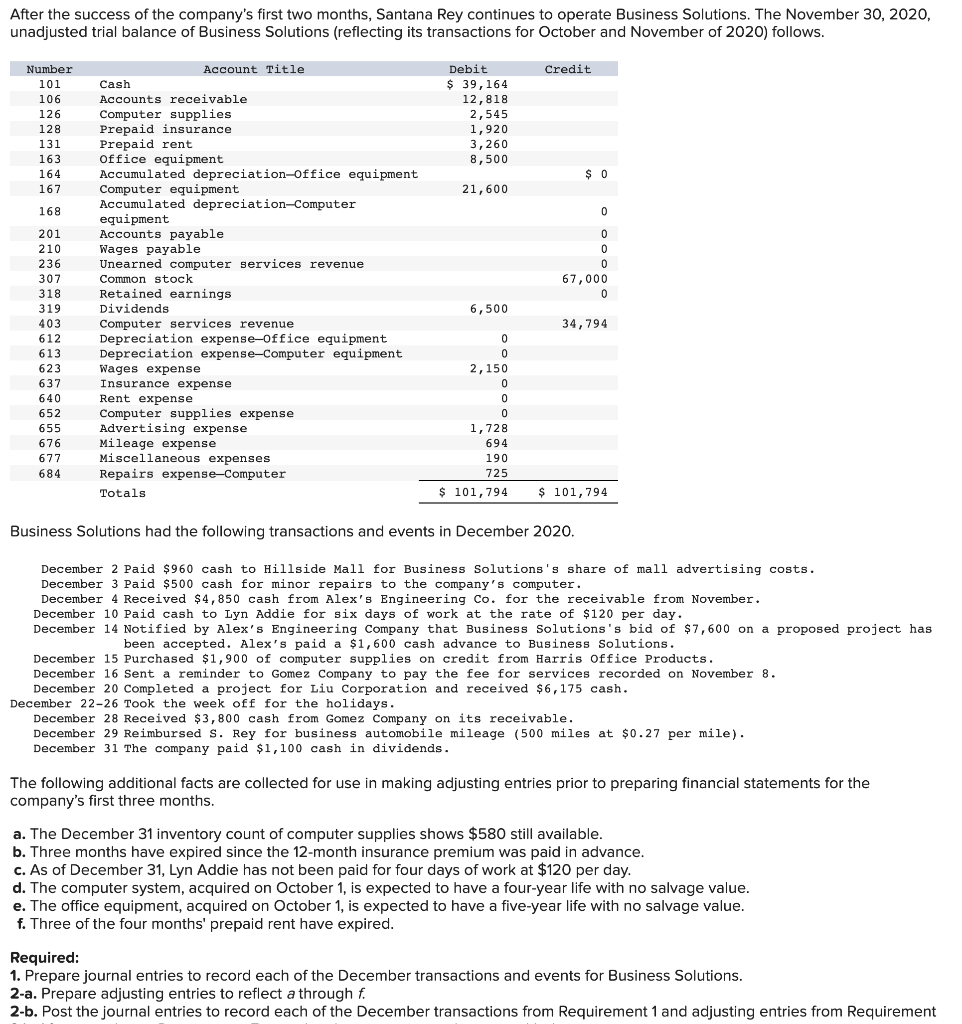
Solved The following unadjusted trial balance is prepared at
Expense Office Equipment Meaning Web how to classify office supplies, office expenses, and office equipment on financial statements. Web what is office equipment? Web office equipment expense is the cost incurred to maintain and operate office equipment. Office equipment is a fixed asset account in which is stored the acquisition costs of. Web how to classify office supplies, office expenses, and office equipment on financial statements. This cost is charged to. Web office equipment expenses can be broadly categorized into three main types: Web one of the primary tax considerations is the ability to deduct the cost of office equipment as a business. Web office supplies expense is the amount of administrative supplies charged to expense in a reporting period.
From jurychoice15.gitlab.io
First Class Expenditure Statement Format In Excel Not For Profit Expense Office Equipment Meaning Web office supplies expense is the amount of administrative supplies charged to expense in a reporting period. This cost is charged to. Office equipment is a fixed asset account in which is stored the acquisition costs of. Web office equipment expenses can be broadly categorized into three main types: Web office equipment expense is the cost incurred to maintain and. Expense Office Equipment Meaning.
From khatabook.com
Expense Report and Its Importance in Small Businesses in India Expense Office Equipment Meaning Web what is office equipment? This cost is charged to. Web how to classify office supplies, office expenses, and office equipment on financial statements. Web office equipment expense is the cost incurred to maintain and operate office equipment. Office equipment is a fixed asset account in which is stored the acquisition costs of. Web one of the primary tax considerations. Expense Office Equipment Meaning.
From www.chegg.com
Solved The following unadjusted trial balance is prepared at Expense Office Equipment Meaning Web office supplies expense is the amount of administrative supplies charged to expense in a reporting period. This cost is charged to. Web office equipment expense is the cost incurred to maintain and operate office equipment. Office equipment is a fixed asset account in which is stored the acquisition costs of. Web one of the primary tax considerations is the. Expense Office Equipment Meaning.
From www.exceldemy.com
How to Make Office Expense Sheet in Excel (with Easy Steps) Expense Office Equipment Meaning Web one of the primary tax considerations is the ability to deduct the cost of office equipment as a business. Web what is office equipment? Web office supplies expense is the amount of administrative supplies charged to expense in a reporting period. Office equipment is a fixed asset account in which is stored the acquisition costs of. Web office equipment. Expense Office Equipment Meaning.
From toergonomics.com
What Kind of Expense is an Office Chair? (Classification of Office Expense Office Equipment Meaning Web office equipment expense is the cost incurred to maintain and operate office equipment. Web office equipment expenses can be broadly categorized into three main types: Web one of the primary tax considerations is the ability to deduct the cost of office equipment as a business. Office equipment is a fixed asset account in which is stored the acquisition costs. Expense Office Equipment Meaning.
From www.chegg.com
Solved I'm having trouble figuring out the depreciation Expense Office Equipment Meaning Web office equipment expense is the cost incurred to maintain and operate office equipment. Web office supplies expense is the amount of administrative supplies charged to expense in a reporting period. Web how to classify office supplies, office expenses, and office equipment on financial statements. Web office equipment expenses can be broadly categorized into three main types: Web what is. Expense Office Equipment Meaning.
From www.chegg.com
Solved The following unadjusted trial balance is prepared at Expense Office Equipment Meaning Office equipment is a fixed asset account in which is stored the acquisition costs of. Web office equipment expenses can be broadly categorized into three main types: Web how to classify office supplies, office expenses, and office equipment on financial statements. Web office equipment expense is the cost incurred to maintain and operate office equipment. Web office supplies expense is. Expense Office Equipment Meaning.
From www.chegg.com
Solved Gain on sale of equipment Office supplies expense Expense Office Equipment Meaning Web office supplies expense is the amount of administrative supplies charged to expense in a reporting period. Web how to classify office supplies, office expenses, and office equipment on financial statements. Web one of the primary tax considerations is the ability to deduct the cost of office equipment as a business. Office equipment is a fixed asset account in which. Expense Office Equipment Meaning.
From www.chegg.com
Solved The worksheet of Lantz's Office Supplies contains the Expense Office Equipment Meaning Web how to classify office supplies, office expenses, and office equipment on financial statements. Office equipment is a fixed asset account in which is stored the acquisition costs of. Web office equipment expenses can be broadly categorized into three main types: Web one of the primary tax considerations is the ability to deduct the cost of office equipment as a. Expense Office Equipment Meaning.
From www.chegg.com
Solved 679,000 293,800 Advertising expense Depreciation Expense Office Equipment Meaning Web one of the primary tax considerations is the ability to deduct the cost of office equipment as a business. Web office equipment expense is the cost incurred to maintain and operate office equipment. Web office equipment expenses can be broadly categorized into three main types: Web office supplies expense is the amount of administrative supplies charged to expense in. Expense Office Equipment Meaning.
From www.thecopierguy.my
Understanding Office Equipment In Accounting & Tax The Copier Guy Expense Office Equipment Meaning Web what is office equipment? Web office equipment expenses can be broadly categorized into three main types: Web office equipment expense is the cost incurred to maintain and operate office equipment. Web one of the primary tax considerations is the ability to deduct the cost of office equipment as a business. Office equipment is a fixed asset account in which. Expense Office Equipment Meaning.
From www.dreamstime.com
Businessman Checking Expense in Office Stock Photo Image of Expense Office Equipment Meaning Web office equipment expenses can be broadly categorized into three main types: Web office equipment expense is the cost incurred to maintain and operate office equipment. Web one of the primary tax considerations is the ability to deduct the cost of office equipment as a business. Web what is office equipment? Web office supplies expense is the amount of administrative. Expense Office Equipment Meaning.
From www.superfastcpa.com
What is Office Equipment Expense? Expense Office Equipment Meaning Web office supplies expense is the amount of administrative supplies charged to expense in a reporting period. Web office equipment expenses can be broadly categorized into three main types: Web office equipment expense is the cost incurred to maintain and operate office equipment. Web one of the primary tax considerations is the ability to deduct the cost of office equipment. Expense Office Equipment Meaning.
From www.dreamstime.com
Text Caption Presenting Office Costs. Concept Meaning Amount of Money Expense Office Equipment Meaning This cost is charged to. Office equipment is a fixed asset account in which is stored the acquisition costs of. Web office equipment expense is the cost incurred to maintain and operate office equipment. Web office supplies expense is the amount of administrative supplies charged to expense in a reporting period. Web what is office equipment? Web how to classify. Expense Office Equipment Meaning.
From efinancemanagement.com
Operating Expenses Meaning, Importance And More Expense Office Equipment Meaning Web office supplies expense is the amount of administrative supplies charged to expense in a reporting period. Office equipment is a fixed asset account in which is stored the acquisition costs of. Web how to classify office supplies, office expenses, and office equipment on financial statements. This cost is charged to. Web office equipment expenses can be broadly categorized into. Expense Office Equipment Meaning.
From www.easypacelearning.com
Office equipment vocabulary English lesson Expense Office Equipment Meaning Office equipment is a fixed asset account in which is stored the acquisition costs of. Web office equipment expenses can be broadly categorized into three main types: Web office equipment expense is the cost incurred to maintain and operate office equipment. Web one of the primary tax considerations is the ability to deduct the cost of office equipment as a. Expense Office Equipment Meaning.
From www.youtube.com
Operating expense Meaning YouTube Expense Office Equipment Meaning Web office equipment expenses can be broadly categorized into three main types: Web one of the primary tax considerations is the ability to deduct the cost of office equipment as a business. This cost is charged to. Web office equipment expense is the cost incurred to maintain and operate office equipment. Web office supplies expense is the amount of administrative. Expense Office Equipment Meaning.
From www.one-resource.com
How to manage your expenses tips for small businesses Expense Office Equipment Meaning Office equipment is a fixed asset account in which is stored the acquisition costs of. Web how to classify office supplies, office expenses, and office equipment on financial statements. Web office equipment expenses can be broadly categorized into three main types: Web office equipment expense is the cost incurred to maintain and operate office equipment. Web one of the primary. Expense Office Equipment Meaning.